久久夜夜夜I中文字幕免费在线看I91传媒激情理伦片I色激情五月I玖玖玖在线观看I嫩小bbbb摸bbb摸bbbI91色影院I免费www视频

Previous Next

摩擦式提升機鋼絲繩抖動故障診斷與分析(中)(圖文)

時間:2024-04-19 08:30:40  點擊數:


2.1 鋼絲繩張力測試方案
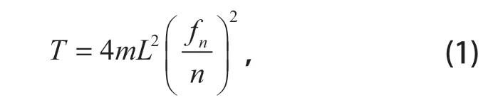
      鋼絲繩張力可以通過測量振動頻率后計算得到。根據弦振動理論,忽略垂直效應和抗彎剛度,鋼絲繩張力


      式中:m 為鋼絲繩單位長度質量,kg/m;L 為鋼絲繩長度,m;n 為自振頻率的階數;fn 為鋼絲繩第 n 階自振頻率,Hz。

      在m 和 L 保持不變的情況下,鋼絲繩張力 T 與鋼絲繩自振頻率 fn 的平方成正比。通過測振儀器和軟件分析可以得到自振頻率 fn,利用式 (1)得到 6 根鋼絲繩的張力值,zui后通過計算確定鋼絲繩張力的偏差。

2.2 提升機電控測試方案
      判斷提升機運行是否穩定,zui常使用的測試方法就是對比提升機的運行速度和驅動電動機的電流。通過智能測試儀對兩項進行實時監測,采集提升機配重上提時的速度運行曲線和電動機電流曲線,分析曲線變化規律,從而判斷提升機運行是否平穩。

2.3 主軸承振動測試方案
      在提升機正常運行下,利用測振儀器對電動機和滾筒的連接主軸承進行振動檢測,經過儀器自帶的軟件進行頻譜分析后得到振動頻譜圖,再與軸承的故障頻率進行比對,從而判斷頻譜中是否存在軸承的故障頻率,進而確定主軸承是否存在故障。主軸承振動測試測點及方向如圖 1 所示。
 
圖1 主軸承振動測點位置及方向

      在提升機正常提升時,分別在主軸承的驅動端和非驅動端,對主軸承的水平、垂直和軸向 3 個方向進行振動監測。

3 故障診斷分析
3.1 鋼絲繩張力測試分析
      鋼絲繩張力測試在 2 種工況下進行,分別是配重在井口時和配重在井底時。測試時,提升機要保持靜止狀態,用小錘依次敲擊鋼絲繩,并用測振儀器記錄數據。從非驅動側到驅動側的鋼絲繩編號為 1~6,如圖 2 所示。鋼絲繩振動測試結果如表 1 所列。
 
圖2 鋼絲繩振動測試示意
表1 鋼絲繩振動測試結果

      由表 1 計算可知,當配重在井口時,鋼絲繩張力的zui大偏差為 8.3%;當配重在井底時,鋼絲繩張力的zui大偏差達到了 13.6%。井底時,鋼絲繩張力的zui大偏差超過了《煤礦安全規程》第 411 條要求的“任一根提升鋼絲繩的張力同平均張力之差不得超過±10%”,表明這 6 根鋼絲繩所承受的拉力不平衡。因此,確定鋼絲繩振動的原因是張力不平衡。