久久夜夜夜I中文字幕免费在线看I91传媒激情理伦片I色激情五月I玖玖玖在线观看I嫩小bbbb摸bbb摸bbbI91色影院I免费www视频

Previous Next

礦用罐道鋼絲繩張力研究與應用(2)

時間:2024-04-11 08:07:48  點擊數:


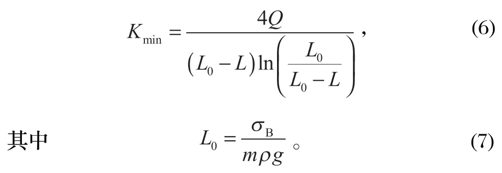
1.2 計算罐道繩剛性系數
      根據文獻 [10-11],罐道繩張緊狀態和鋼絲繩自重影響剛性系數,繩長范圍內的各點剛性系數均不同,zui小剛性系數在罐道繩下端 (0.4~0.5) L 之間。zui小剛性系數
 


      式中:L0 為罐道繩ji限懸垂長度,m;σB 為罐道繩的抗拉強度,N/m2;m 為罐道繩的安全系數,取 m=6;ρ 為罐道繩的密度,平均取 9 000 kg/m3。

1.3 罐道繩剛性系數的影響因素
      在容器上下 4 個約束點平面上,罐道繩的橫向剛度相同;力臂越大的約束點,水平位移越大,其對容器的水平約束力越大。它會使得容器產生一個繞 x 軸的水平轉矩。當容器在水平 y 軸上受外力 F 產生一個橫向位移 圖片時,其受力情況如圖2 所示。
 

      圖2 水平面內容器的受力

      圖中,O 點為提升容器的質心;A1、A2、A3、A4表示罐耳在提升容器上的位置,A1、A2 表示提升容器的外側,A3、A4 表示提升容器的內側;wB1 和 wB2 表示罐耳在 z 軸方向到容器質心的橫向水平距離;ds(Ai)表示罐耳在 y 軸方向到容器質心的橫向水平距離。

      提升容器的罐耳在其中一個方向不對稱布置,由于 4 根罐道繩底部張緊力相同,在容器上下 4 個約束點平面上,罐道繩的橫向剛度相同,其力臂越大的約束點,水平位移越大,它對容器的水平約束力越大,使容器產生一個水平轉矩。當容器在水平 y 軸上受外力 F 作用,在罐耳 A1、A2、A3、A4 處產生的橫向位移依次為 wA1、wA2、wA3 和 wA4。罐耳 A1、A2、A3、A4 處的橫向力依次為
 

      式中:kA1、kA2、kA3、kA4 為罐道繩在提升容器上側罐耳處的橫向剛度。同理,kB1、kB2、kB3、kB4 為罐道繩在提升容器下側罐耳處的橫向剛度。

      提升容器受到的zui大轉矩
 

      在深井下,kAi 的值與 kBi 的值差別很小,
 

      在橫向位移不變的情況下,提升容器的靜態轉矩與罐道繩橫向剛度呈線性關系。當容器在水平面內達到受力平衡時,容器產生了一個扭轉角 θx。Mmax越大,扭轉角 θ x 越大,其扭轉引起在 y 軸的位移為wBi θx。

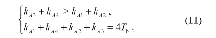
      要削弱轉矩的影響,則需要調整罐道繩剛度,盡可能使 Mmax 變小。定義剛度之間的協調比值
 
 
      由于 wB1 >wB2,可得 kA2+kA3>kA1+kA4。

      根據《煤礦安全規程》第三百九十八條規定,需要滿足:
 

      再根據 kA2+kA3>kA1+kA4,因此 4 根罐道繩底部的zui小剛性系數需滿足 kA3>kA2>kA4>kA1。